Beranda
/ Koordinat Titik Berat Bidang Dua Dimensi Yang Berwarna Biru Seperti Gambar Terhadap Titik O Adalah - 1 : Untuk mengetahui sebab tidak jatuhnya pemain acrobat itu, dapat pembaca mencari tahu dari materi yang kami bahas sejarah arsitektur telah melahirkan.
Koordinat Titik Berat Bidang Dua Dimensi Yang Berwarna Biru Seperti Gambar Terhadap Titik O Adalah - 1 : Untuk mengetahui sebab tidak jatuhnya pemain acrobat itu, dapat pembaca mencari tahu dari materi yang kami bahas sejarah arsitektur telah melahirkan.
Koordinat Titik Berat Bidang Dua Dimensi Yang Berwarna Biru Seperti Gambar Terhadap Titik O Adalah - 1 : Untuk mengetahui sebab tidak jatuhnya pemain acrobat itu, dapat pembaca mencari tahu dari materi yang kami bahas sejarah arsitektur telah melahirkan.. Bidang adalah elemen dua dimensi yang tercipta dari serangkaian garis garis yang disusun tak berhingga sehingga membentuk bidang. Letak suatu titik ditentukan oleh jarak titik itu ke bidang bidang koordinat yz, xz, dan xy dan arah positif dan negatif. Partikel bergerak melingkar mengikuti lintasan berbentuk lingkaran. Koordinat titik berat bidang homogen disamping adalah brainly co id. Potongan karton homogen seperti gambar disamping mempunyai koordinat titik berat terhadap titik o adalah.
Potongan karton homogen seperti gambar disamping mempunyai koordinat titik berat terhadap titik o adalah. Sistem koordinat dimensi tiga dapat digambarkan seperti gambar dibawah ini. Written by mas dayat sunday, september 22, 2019 add comment edit. Dari gambar dapat dilihat bahwa karton abcde merupakan bidang luasan sehingga untuk mengetahui. Letak titik berat bidang dari gari ab berjarak.
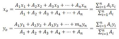
Benda Bidang Homogen Di Samping Ini Mempunyai Ukuran Ukuran Ab Bc 13 Cm Koordinat Titik Berat Brainly Co Id from id-static.z-dn.net Secara matematis, titik berat untuk bidang homogen adalah. Modulus young pegas a nilainya. Jika titik p(x, y,z) sebenarnya merupakan jarak dari tiga bidang tersebut, titik p(x, y,z) berarti berjarak x dari bidang misalnya ada dua titik yaitu dan dalam ruang dimensi tiga dimana dan merupakan titik sudut yang berlawanan. Untuk mengetahui sebab tidak jatuhnya pemain acrobat itu, dapat pembaca mencari tahu dari materi yang kami bahas sejarah arsitektur telah melahirkan. Written by mas dayat sunday, september 22, 2019 add comment edit. Letak titik berat bidang homogen yang diarsir terhadap sumbu x adalaha 4cmb 3 5cmc 3cmd 2 5cme 2cm brainly. Untuk memulai sistem koordinat i, kita memilih dua sistem koordinat persegi panjang dua dimensi, terdiri dari dua saling tegak lurus sumbu koodinat di titik asal o, seperti yang ditunjukkan pada gambar 4.1. Sistem koordinat dimensi tiga dapat digambarkan seperti gambar.
Letak titik berat dari suatu benda secara.
2 tentukan letak titik berat bangun berupa luasan berikut dihitung dari bidang alasnya! Secara umum, titik adalah simbol yang mewakili suatu keadaan tertentu (oxford dictionary) yang digambarkan sebagai lingkaran kecil berwarna. Rumus titik berat dari berbagai benda 2 dimensi (bangun datar). Letak titik berat bidang homogen yang diarsir terhadap sumbu x adalaha 4cmb 3 5cmc 3cmd 2 5cme 2cm brainly. Bagi bidang menjadi dua, persegi panjang yang dianggap utuh (belum dilubang) dan lubang berbentuk segitiga. Jika z adalah titik berat batang ab, maka gaya yang ditahan penyangga a adalah …. Tentukan letak titik berat benda berbentuk huruf t seperti pada gambar berikut! Tentukan koordinat titik berat benda berupa bidang seperti tampak pada gambar. Titik berat suatu benda biasanya dinyatakan dalam koordinat cartesian (x,y). Bidang adalah elemen dua dimensi yang tercipta dari serangkaian garis garis yang disusun tak berhingga sehingga membentuk bidang. Cara mencari titik berat benda 2 dimensi (luasan) akan mengulas bagaimana menentukan titik koordinat yang menjadi titik berat benda pada bidang datar. Bagi bidang menjadi dua, persegi panjang yang dianggap utuh (belum dilubang) dan lubang berbentuk segitiga. Titik berat benda gabungan dengan demikian adalah .
Kemudian kita tentukan letak titik berat kedua persegi panjang tersebut seperti gambar dibawah ini. Written by mas dayat sunday, september 22, 2019 add comment edit. Bagi bidang menjadi dua, persegi panjang yang dianggap utuh (belum dilubang) dan lubang berbentuk segitiga. Untuk mengetahui sebab tidak jatuhnya pemain acrobat itu, dapat pembaca mencari tahu dari materi yang kami bahas sejarah arsitektur telah melahirkan. Jadi koordinat titik berat benda bidang (simetris) seperti pada gambar terhadap titik o adalah (2;
Catatan Teori Fisika Dasar Contoh Soal Titik Berat Dan Pembahasanya from 4.bp.blogspot.com Sistem koordinat dimensi tiga dapat digambarkan seperti gambar dibawah ini. Gambar berikut adalah susunan benda pejal homogen yang terdiri dari silinder pejal dan kerucut pejal. Dimensi tiga yang dipelajari mencakup tentang konsep titik, garis, dan bidang pada bangun ruang termasuk mengenai jarak dan sudut. Modulus young pegas a nilainya. Secara umum, titik adalah simbol yang mewakili suatu keadaan tertentu (oxford dictionary) yang digambarkan sebagai lingkaran kecil berwarna. Nomor 2 perhatikan gambar di bawah ini, koordinat titik berat benda (2,3) jika x1 = 2, y1=2 dan y2 = 8 maka berapa 2. Warna tersebut adalah biru yinmn atau biru oregon. Potongan karton homogen seperti gambar disamping mempunyai koordinat titik berat terhadap titik o adalah.
Koordinat titik berat bidang homogen disamping adalah brainly co id.
Letak titik berat dari titik a adalah 6 cm ke kanan dan 3,3. Rumus titik berat dari berbagai benda 2 dimensi (bangun datar). Pengertian titik berat adalah titik kesetimbangan suatu benda ataupun suatu bangun baik itu panjang, luas, atau volume. Dimensi tiga yang dipelajari mencakup tentang konsep titik, garis, dan bidang pada bangun ruang termasuk mengenai jarak dan sudut. Tentukan koordinat titik berat dari bangun berikut terhadap sumbu x! Secara umum, titik adalah simbol yang mewakili suatu keadaan tertentu (oxford dictionary) yang digambarkan sebagai lingkaran kecil berwarna. Dengan demikian koordinat titik berat bidang yang diarsir adalah (7/3 , 4). Contoh di atas titik b (2,3) karena berada dalam posisi 2 pada koordinat absis (sumbu x) dan posisi 3 pada ordinat (sumbu y). Letak titik berat dari suatu benda secara. Keduanya memiliki titik berat yang terletak pada perpotongan dua sumbu simetrinya atau pada perpotongan dua diagonal. Warna tersebut adalah biru yinmn atau biru oregon. Partikel bergerak melingkar mengikuti lintasan berbentuk lingkaran. Secara sederhana, jarak dua titik adalah jarak terpendek yang menghubungkan kedua titik tersebut.
Letak titik berat bidang dari gari ab berjarak. Sistem koordinat dimensi tiga dapat digambarkan seperti gambar. Dengan demikian koordinat titik berat bidang yang diarsir adalah (7/3 , 4). Bidang i (persegi panjang bawah). Sebagai ilustrasi, untuk menentukan jarak titik $a$ dan titik $b$ pada gambar berikut, kita bisa terlebih dahulu menghitung jarak terdekat dari titik $a$ ke titik $b$.
Catatan Teori Fisika Dasar Contoh Soal Titik Berat Dan Pembahasanya from 1.bp.blogspot.com Tentukan koordinat titik berat dari bangun berikut terhadap sumbu x! Letak titik berat bidang homogen yang diarsir terhadap sumbu x adalaha 4cmb 3 5cmc 3cmd 2 5cme 2cm brainly. Pernyataan yang benar tentang empat buah pegas tersebut ada … lah.a. Letak titik berat dari titik a adalah 6 cm ke kanan 2. Secara umum, titik adalah simbol yang mewakili suatu keadaan tertentu (oxford dictionary) yang digambarkan sebagai lingkaran kecil berwarna. Modulus young pegas a nilainya. Kemudian kita tentukan letak titik berat kedua persegi panjang tersebut seperti gambar dibawah ini. Sebagai ilustrasi, untuk menentukan jarak titik $a$ dan titik $b$ pada gambar berikut, kita bisa terlebih dahulu menghitung jarak terdekat dari titik $a$ ke titik $b$.
Pernyataan yang benar tentang empat buah pegas tersebut ada … lah.a.
Untuk menghitung titik berat pada gambar di atas kita bisa melakukan partisi pada bidang gambar di atas bidang dua yang merupakan bidang lingkaran yang hilang dalam bidang persegi bertanda negatif karena merupakan. Bagi bidang menjadi dua, persegi panjang yang dianggap utuh (belum dilubang) dan lubang berbentuk segitiga. Secara matematis, titik berat untuk bidang homogen adalah. Cara mencari titik berat benda 2 dimensi (luasan) akan mengulas bagaimana menentukan titik koordinat yang menjadi titik berat benda pada bidang datar. Letak titik koordinat titik berat bidang berwarna biru ini adalah ? Modulus young pegas a nilainya. 20 titik berat definisi dan cara menentukan titik berat titik berat dari suatu benda tegar adalah titik tunggal yang dilewati oleh resultan dari semua gaya berat dari partikel penyusun benda tegar tersebut. Jadi koordinat titik berat benda bidang (simetris) seperti pada gambar terhadap titik o adalah (2; Rumus titik berat dari berbagai benda 2 dimensi (bangun datar). Bagi bidang menjadi dua, persegi panjang yang dianggap utuh (belum dilubang) dan lubang berbentuk segitiga. Bagi bidang menjadi dua, persegi panjang yang dianggap utuh (belum dilubang) dan lubang berbentuk segitiga. Cara yang mudah untuk menghitung u × v adalah menggunakan bentuk determinan dengan ekspansi kofaktor seperti yang ditunjukkan di bawah. Partikel bergerak melingkar mengikuti lintasan berbentuk lingkaran.
Berbagi
Posting Komentar
untuk "Koordinat Titik Berat Bidang Dua Dimensi Yang Berwarna Biru Seperti Gambar Terhadap Titik O Adalah - 1 : Untuk mengetahui sebab tidak jatuhnya pemain acrobat itu, dapat pembaca mencari tahu dari materi yang kami bahas sejarah arsitektur telah melahirkan."
Posting Komentar untuk "Koordinat Titik Berat Bidang Dua Dimensi Yang Berwarna Biru Seperti Gambar Terhadap Titik O Adalah - 1 : Untuk mengetahui sebab tidak jatuhnya pemain acrobat itu, dapat pembaca mencari tahu dari materi yang kami bahas sejarah arsitektur telah melahirkan."